地址:上海市光复西路2899弄2号507室
电话:021-64850134 / 54261103 / 54801104
CIE dE2000 公式考虑了几个因素,以更好地与人类的视觉感知保持一致。这些因素包括亮度 (L*)、色度 (C*) 和色调 (h) 的差异。该公式还结合了对人眼对不同颜色的特定灵敏度的校正,解决了颜色感知的不均匀性问题。

为了解决人类色彩感知的复杂性,实现更准确的色彩表现,研究人员对色觉进行了深入探索,从而开发了先进的色差公式。在这些方程式中,CIE dE2000 就是一个突出的例子。CIE dE2000 考虑了人类视觉的不均匀性,并包含影响我们对颜色感知的生理细微差别。通过考虑亮度、色度和色调的影响,改进的 CIE dE2000 配方提供了对色差的更全面理解。CIEDE2000的综合性使其成为一种非常宝贵的工具,尤其是在精确的色彩传达至关重要的行业中。

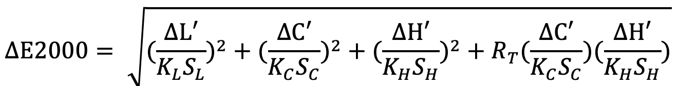
CIE dE2000 公式考虑了几个因素,以更好地与人类的视觉感知保持一致。这些因素包括亮度 (L*)、色度 (C*) 和色调 (h) 的差异。该公式还结合了对人眼对不同颜色的特定灵敏度的校正,解决了颜色感知的不均匀性问题。是的,这个公式看起来有些令人生畏和复杂,涉及各种数学计算,但让我们为您分解为关键组成部分:
亮度差 (ΔL*):表示两种颜色之间的亮度差异。
色度差 (ΔC*):测量两种颜色之间的颜色强度或饱和度的差异。
色相差 (Δh*):描述两种颜色之间的色调角度差异。
色度和色调加权功能:这些功能根据被比较颜色的亮度和色度来调整色度和色调差异,从而解决人类颜色感知的不均匀性。
DeltaE (ΔE) 值:通过结合计算出的亮度、色度和色调差异以及加权函数获得的最终色差值。